Стабилизационный фонд: возможности для будущего
В статье предпринята попытка проанализировать роль Стабилизационного фонда и возможности использования его средств на инновационные цели.
Екатерина Попова
Стабилизационный фонд: возможности для будущего
"Экономические стратегии", №03-2007, стр. 11-21
| Попова Екатерина Витальевна — помощник руководителя Администрации Президента Российской Федерации. |
В Бюджетном послании Президента Российской Федерации Федеральному собранию Российской Федерации о бюджетной политике в 2008-2010 гг. отмечается, что необходимо превратить федеральный бюджет в эффективный инструмент макроэкономического регулирования. "В перспективе должно быть обеспечено снижение инфляции до приемлемого уровня 3-4% в год". Во-вторых, обращается внимание на необходимость обеспечения долгосрочной сбалансированности бюджета. "При уменьшении необходимости стерилизации избыточного денежного предложения в целях стабилизации макроэкономических показателей на первый план выходит задача обеспечения устойчивости бюджетных расходов независимо от конъюнктуры сырьевых цен. С этой целью Стабилизационный фонд Российской Федерации необходимо преобразовать в Резервный фонд и Фонд будущих поколений".
В соответствии с вышеизложенным Правительству Российской Федерации поручено разработать механизмы и соответствующие изменения в бюджетное законодательство, обеспечивающие увеличение доходов от размещения накопленных средств.
В связи с особой важностью данной темы для успешного развития российской экономики, в том числе ее высокотехнологичного сектора, в данной статье предпринята попытка проанализировать роль Стабилизационного фонда и возможности использования его средств на инвестиционные цели (1).
Идея создания Стабилизационного фонда не нова. Стабилизационные фонды как инструменты наращивания золотовалютных резервов создавали многие страны с целью уменьшения давления поступающей в страну валютной выручки на курс национальной валюты и ее укрепления.
Стабилизационные фонды в разное время использовали страны, располагающие в настоящее время значительными международными резервами – Япония и Китай (свыше 800 млрд долл.), Южная Корея (порядка 250 млрд долл.).
Основной вопрос состоит в следующем: как разумно распорядиться накопленными ресурсами? Очевидно, что для ответа на него необходимо оценить, на сколько процентов можно снизить инфляцию за счет изъятия валютной выручки в Стабилизационный фонд. В соответствии с данными оценками, следует принять решение относительно распоряжения накопленными средствами.
В связи с вышеизложенным, целью данной статьи является следующее:
1. Дать количественную оценку того, на сколько процентов можно снизить инфляцию за счет изъятия валютной выручки в Стабилизационный фонд.
2. Показать, в какие проекты (с учетом их общеэкономической оценки) можно вкладывать средства Стабфонда, не вызывая роста инфляции.
При оценке эффективности использования средств Стабфонда необходимо обратить внимание на следующие важные моменты. В последние годы российское государство сконцентрировало огромные финансовые ресурсы в золотовалютных резервах и Стабфонде, в то время как многие отрасли, определяющие экономическую динамику в России, находятся в очень сложном положении. В такой ситуации предприятия и банки вынуждены прибегать к иностранным платным заимствованиям, которые составили на I полугодие 2006 г. 141,3 млрд долл. для корпоративного и 67,0 млрд долл. для банковского сектора.
Например, Внешторгбанк, который почти на 100% является государственным, в последние годы брал кредиты (около миллиарда долларов) под 6,25% годовых, а "Роснефть", которая на 100% является государственным предприятием, взяла синдицированный кредит в 7,5 млрд долл. под LIBOR + 1,55% (2).
В то же время средства Стабфонда вложены в покупку ценных бумаг иностранных государств – т.е. в экономики этих стран – с доходностью 4-5% годовых. Таким образом, очевидно, что существует 2-3 процентных пункта разницы между размещаемыми и привлекаемыми средствами. В соответствии с некоторыми расчетами хранение средств указанным способом, с учетом необходимости постоянно брать взаймы на внешних финансовых рынках, фактически означает чистые потери доходов российского бюджета в размере до 150 млн долл. в год. Кроме того, укрепление эффективного курса рубля по корзине валют составляет 5-10% в год. Следовательно, средства Стабфонда, размещаемые подобным образом, приносят нулевую или отрицательную доходность. В экономической литературе достаточно широко освещена проблема "двойного дефицита" в США – дефицита госбюджета (более 0,5 трлн долл.) и дефицита счета текущих операций платежного баланса (около 0,8 трлн долл.), которые финансируются за счет продажи государственных ценных бумаг на внутреннем и внешних рынках.
Опыт других стран свидетельствует о возможности гораздо более эффективного размещения средств подобных фондов. Например, масштабы доходов от инвестирования накопленных средств Норвежского государственного нефтяного фонда сопоставимы с поступлениями от природной ренты. По норвежскому законодательству от 30 до 50% средств фонда могут направляться в акции, включая компании Китая, Польши, Турции, Филиппин, Чили. Доходность таких операций норвежского фонда превышает 20%. Аналогичную политику проводит и кувейтский Фонд будущих поколений. Использование денег из таких фондов в рамках текущего бюджетного процесса законодательно ограничено или запрещено. В ряде случаев ресурсы бюджетных фондов будущих поколений инвестируются в национальную экономику (с ограничениями для нефтяного сектора – например, кувейтский Фонд будущих поколений, Нефтяной фонд Омана).
В целом фонды будущих поколений ориентированы на накопление ресурсов на длительную перспективу: обеспечение бюджетных расходов в условиях исчерпания запасов полезных ископаемых и других чрезвычайных ситуаций. Кроме того, например, в кувейтский Фонд будущих поколений зачисляются все виды доходов бюджета при достижении профицита.
Если принять во внимание неэффективность размещения средств Стабилизационного фонда, накопление в нем огромных сумм в условиях наличия в стране ряда острых проблем в реальном и финансовом секторах экономики, а также в социальной сфере представляется весьма спорным с позиции экономической целесообразности.
Данная ситуация, конечно, не означает, что денежные средства должны бесконтрольно и непродуманно направляться на удовлетворение всех требований отраслей реальной экономики и социальной сферы. Задача формирования государственной денежной политики состоит в подчинении принимаемых решений потребностям экономического развития, направленного на развитие конкурентных преимуществ России, ее высокотехнологичного сектора, и эти решения должны базироваться на строгих расчетах.
Таким образом, прежде чем тратить средства Стабфонда, необходимо ответить на вопрос, на сколько процентов можно снизить инфляцию за счет изъятия валютной выручки в Стабфонд.
Согласно оценкам Центра экономической конъюнктуры при Правительстве Российской Федерации, по 5% в формирование инфляции вносят монетарный фактор (рост агрегата М0 – наличные деньги) и рост издержек, и порядка 1% – рост цен за счет структурных диспропорций.
Изъятие "избыточной" и "неэффективной" денежной массы в Стабилизационный фонд является одним из монетарных методов борьбы с инфляцией. Прежде всего рассмотрим, каков был бы уровень инфляции и вклад в нее монетарного фактора, если бы Стабилизационный фонд не был создан, а средства, полученные предприятиями от экспорта нефти, не изымались бы в Стабилизационный фонд путем выплаты налога на добычу полезных ископаемых.
Валютная выручка предприятий, не изымаемая в Стабфонд, на 80-90% поступает на валютный рынок (так как предприятиям для осуществления расчетов и инвестиций в России нужны рубли), на котором Центральный банк и банки покупают ее, эмитируя рубли и тем самым пополняя свои золотовалютные резервы (которые в дальнейшем вкладываются в покупку долговых обязательств США). Прирост золотовалютных резервов отражается в платежном балансе со знаком минус (так как происходит приобретение иностранной валюты, то есть тех же обязательств других государств в обмен на валюту национальную), в активе Банка России по статье как п. 2 "Средства, размещенные у нерезидентов, и ценные бумаги иностранных эмитентов в пассиве Банка России" в рублях и в пассиве – как п. 1 "Наличные деньги в обращении".
Стабфонд является таким же резервом государства и используется аналогичным образом, только валютная выручка предприятий не приобретается, а изымается, и налично-денежной эмиссии на эту сумму не происходит. Следовательно, рост денежного предложения замедляется. Стабфонд также отражается в активе Центрального банка со знаком плюс по тому же п. 2, а в пассиве – по п. 3 "Средства на счетах в Банке России" (подпункт – "средства Правительства Российской Федерации"). Разграничения между Стабилизационным фондом и золотовалютными резервами по ст. 3 пассива баланса Центрального банка, к сожалению, не происходит.
Однако существует статистика Минфина о формировании и использовании средств Стабфонда. Итак, что произошло бы, если бы средства, которые поступают в Стабфонд, отправлялись бы на валютный рынок в виде выручки предприятий и покупались бы Банком России для пополнения золотовалютных резервов?
В таком случае налично-денежная эмиссия увеличилась бы на величину Стабилизационного фонда и это было бы зафиксировано соответствующим образом в балансе Банка России. На ту же величину увеличился бы и агрегат М0. Как это повлияло бы на инфляцию, поможет ответить решение системы уравнений, состоящих из следующих макроэкономических тождеств.
B =
ЗВР (прирост денежной базы в узком определении
B = приросту золотовалютных резервов
ЗВР) [1].
М2 = mхВ (денежный агрегат М2 или деньги в национальном определении равны произведению денежной базы В и денежного мультипликатора m, при этом денежный мультипликатор m является в экономике величиной относительно постоянной, равно как и скорость обращения денег) [2].
Y = M2V (ВВП Y есть произведение денежного агрегата М2 на скорость обращения денег V) [3].
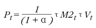
Чтобы рассчитать уровень инфляции через уравнение Фишера, необходимо привести его к следующему виду:
[4].
К сожалению, политикам, принимающим важнейшие решения в отношении Стабфонда, без уравнения Фишера не обойтись. Формула Фишера в общем виде выглядит следующим образом:
МV = PQ, где М – денежная масса,
V – скорость обращения денег, P – уровень товарных цен, Q – количество обращающихся товаров.
Формула Фишера позволяет объяснить явление инфляции с точки зрения нарушений в сфере бумажно-денежного обращения. Экономическая трактовка формулы
М = PQ/V заключается в следующем: чем больше созданный в стране национальный продукт, тем больше денег должно находиться в обращении. С увеличением физического количества товаров и цен этих товаров приходится наращивать денежную массу, и, наоборот, по мере уменьшения количества товаров и цен на них следует снижать денежную массу. В условиях инфляции масса денег в обращении оказывается чувствительной к уровню цен. Для нормального функционирования товарооборота и денежного обращения приходится увеличивать денежную массу в соответствии с ростом цен. Несоблюдение этого принципа ведет к сбоям в функционировании товарно-денежной системы, дефициту денег в обращении. Контроль за денежной массой со стороны государства необходим в целях воздействия на цены, производство, на экономику в целом.
Определение денежной массы – непростое дело. Проблема состоит в том, что в современной экономике различные виды финансовых активов одновременно выполняют разные функции денег (денежные агрегаты). М1 предназначен для измерения объема фактических средств обращения, т.е. денежной массы в узком смысле слова. М2 измеряет запас высоколиквидного имущества (активов), которым владеет население. Для наших расчетов используем формулу Фишера для года t.
Формула Фишера для года t будет иметь следующий вид:
[5],
где:
Yt – ВВП в году t;
М2t – денежный агрегат М2 в году t;
Vt – скорость обращения денег в году t.
Для года t – 1 формула Фишера
будет выглядеть таким образом:
Yt-1 = М2t-1 Vt-1
[6].

2. Снижение скорости оборота денег, которое, как правило, происходит за счет роста склонности к сбережениям, увеличения кредитной активности, особенно в области долгосрочного (кредиты свыше 1-3 лет) и инвестиционного финансирования (кредиты свыше 5 лет), также способствует снижению цен в экономике за счет "всасывания" денежной массы. При этом обычно наблюдается рост безналичной части агрегата М2 – срочных депозитов предприятий и физических лиц.
Чтобы рассчитать вклад монетарного фактора в инфляцию, необходимо переписать уравнение Фишера для розничного товарооборота, платных услуг и общественного питания (т.е. всей массы товаров и услуг, приобретаемых населением), преимущественно обслуживаемых наличными
деньгами, следующим образом:
Q (розничный товарооборот, платные услуги и общественное питание) = 
[9],
где it – инфляция потребительских цен (CPI);
(1 +
) – средневзвешенные темпы роста розничного товарооборота, платных услуг и общественного питания.
Итак, формула [9] аналогична уравнению Фишера с той лишь разницей, что она рассчитывается для всей массы товаров и услуг, оплачиваемых населением при помощи наличных денег. Для России это уравнение справедливо, так как в настоящее время товарооборот обслуживается в основном при помощи наличных денег. Доля электронных платежей незначительна и составляет не более 5-10% (в основном кредитные карты используются в России именно для снятия наличности, а не для оплаты товаров и услуг и получения потребительских кредитов). Это происходит как по причине недоверия экономических агентов к электронным системам платежей и финансовым институтам, так и по причине достаточно высоких процентных ставок по потребительским кредитам (9-11% годовых). Однако растущая электронизация платежей будет способствовать уменьшению давления налично-денежной массы на потребительский рынок и тем самым – снижению инфляции. В соответствии с уравнениями 1-3, 4 и 9, существующие и гипотетические макроусловия ("без создания Стабфонда") иллюстрирует табл. 1.
Таблица 1. Основные параметры развития российской экономики при условии создания и без создания Стабфонда в 2004–2006, млрд руб. и %

Действительно, если бы Стабфонд не был создан, эти средства были бы в конечном итоге выплачены в качестве доходов и зарплаты населению. Давление прироста эффективного спроса на внутренний рынок привело бы к увеличению уровня инфляции на 1,3%, а затем на 2,6, 4,5 и 4,8% в 2004-2007 гг.
При этом, анализируя точность и достоверность данных оценок, необходимо отметить, что в со-временной экономике существует множество нелинейных и неоднозначных экономических процессов (которые порой невозможно учесть и заложить в модель). Поэтому, в силу непрерывности экономических циклов и процессов, для корректной оценки влияния на них макроэкономической и денежно-кредитной политики следует рассматривать ее влияние на инфляционные процессы не одномоментно, а в динамике и в развитии, т.е. за весь период, начиная с 2004 г. (с момента образования Стабфонда), с учетом вариантов сценарного прогноза.
Возвращаясь к вопросу о сценарии "без образования Стабфонда", нельзя не отметить, что возрастающие доходы населения будут не только оказывать давление на товарный рынок, но и способствовать направлению средств на потребление услуг (в частности, таких как туризм) и создание сбережений, что оказывает минимальное влияние на рост цен внутри страны. А более высокие темпы роста денежного предложения обусловят снижение процентных ставок по кредитам, создание сбережений, усиление кредитной активности и, как следствие, дополнительный рост ВВП.
Безусловно, в представленной модели не учтен тот факт, что дополнительный спрос на товары и услуги (при условии, если бы Стабфонд не был бы создан) мог бы быть удовлетворен за счет импорта, и тогда дополнительный прирост инфляции был бы меньшим, а ее уровень, возможно, стабилизировался бы на уровне 112% в 2005 г. и примерно 110-111% в 2006 г. Кроме того, в случае реализации такого сценария Центральный банк, вероятно, предпринял бы меры по понижению валютного курса рубля примерно до уровня 24-25 руб. за 1 долл. в целях дополнительного снижения инфляции, что было бы неприемлемо по макроэкономическим и воспроизводственным причинам.
Исходя из вышеизложенного, можно сделать вывод, что создание Стабилизационного фонда, с одной стороны, является правильным шагом, обеспечивающим снижение инфляции с 112-113% в год до приемлемого уровня в 109-110% за счет некоторого ослабления воздействия монетарного фактора – уменьшение инфляции на 1-2% в год.
Таким образом, мы ответили на первый вопрос, поставленный в данном разделе – выяснили, на сколько процентов можно снизить инфляцию за счет изъятия валютной выручки в Стабилизационный фонд.
Необходимо дать ответ на следующий вопрос: как оптимизировать расходование средств Стабфонда, не вызывая дополнительной инфляции?
Очевидно, что "замораживание" средств в Стабфонде демонстрирует механистический подход к снижению уровня инфляции без учета перспектив и потребностей инвестиционного роста в России. Аккумуляция средств в Стабфонде особенно неэффективна при вышеупомянутых условиях их размещения за рубежом и существующих инвестиционных потребностях российских компаний. Как уже отмечалось выше, в соответствии с преобразованным уравнением Фишера [4]

можно выделить следующие важнейшие закономерности для инвестиционной политики:
1. Повышение темпов экономического роста (1 +
) оказывает понижательное давление на рост цен.
2. Снижение скорости оборота денег, которое, как правило, происходит за счет роста склонности к сбережениям, увеличения кредитной активности, особенно в области долгосрочного (кредиты свыше 1-3 лет) и инвестиционного финансирования (кредиты свыше 5 лет), также способствует снижению цен в экономике за счет "всасывания" денежной массы. При этом обычно наблюдается рост безналичной части агрегата М2 – срочных депозитов предприятий и физических лиц.
Средства Стабилизационного фонда могли бы дополнительно содействовать подавлению инфляции и экономического роста при условии их использования для инвестирования в те отрасли, где имеет место структурный дефицит (строительство и производство строительных материалов, авиастроение, транспорт, электроэнергетика, нефтепереработка). Отметим, что недостаточный рост производства в таких важнейших отраслях, как электроэнергетика и производство строительных материалов, оказывает негативное воздействие на динамику ВВП и капитальных вложений, создавая повышенный ценовой фон в экономике. Данные отрасли являются капиталоемкими, что приведет к реализации схемы, описанной ниже. Данная схема связывает дополнительные инвестиции, "всасывание" денежной массы экономикой и снижение инфляции.
На основе исследования помесячной динамики инвестиций в основной капитал и ВВП в 1998-2006 гг. Центр экономической конъюнктуры при Правительстве Российской Федерации, используя метод построения регрессионных зависимостей, вывел для российской экономики следующую формулу, связывающую между собой темпы роста инвестиций и ВВП:
Y = aI + b [10],
где: Y – темпы роста ВВП; I – темпы роста инвестиций в основной капитал; a, b – параметры эконометрического уравнения, где a = 0,4931, b = 52,435; R2 (коэффициент детерминации) = 75%.
Расчеты в соответствии с уравнением [5] показывают, что если инвестиции в реальный сектор экономики за счет части средств Стабилизационного фонда будут ежегодно составлять 3-5 млрд долл. в дополнение к их реальному уровню, то рост экономики сверх прогнозного тренда в 6,0% может составить 1,0-1,5%. Таким образом, если темпы роста экономики составят 7-7,5% в год, то выйти на уровень, необходимый для удвоения ВВП, можно будет к 2011 г. Кроме того, будет достигнут мощный мультипликационный эффект за счет реализации проектов в области энергетики и инфраструктуры и сокращения структурного дефицита.
Следовательно, рациональное и эффективное использование средств Стабфонда на нужды российской экономики могло бы в еще большей степени способствовать снижению инфляции, создавая тем самым весьма благоприятный макроэкономический и инвестиционный климат в нашей стране.
Так, дополнительные инвестиции из Стабфонда, как показывает анализ уравнения Фишера [4], будут способствовать еще большему снижению уровня инфляции – примерно на 1-2% от ее текущего уровня. В таком случае инфляция в 2007 г. могла бы составить не 109-109,5%, а 107,5-108,5% (за счет эффекта "всасывания" денег – кредитов и инвестиций, направляемых на развитие экономики; иногда для описания этого процесса применяют термин "связывание ликвидности").
В дальнейшем, по мере выхода проектов на максимальную мощность и ослабления давления структурного дефицита на уровень инфляции, этот эффект может увеличиться, и инфляция к 2010-2011 г. составит при таком сценарии не 105,3-105,7% (3), а около 103,0-103,5%, что соответствует уровню западных стран. Это, кроме прочего, способствовало бы решению многих социально-экономических проблем страны за счет существенного понижения уровня процентных ставок на финансовом рынке России. Такого уровня удалось бы достигнуть без проведения жесткой денежно-кредитной политики, связанной с ограничением расходов и тем самым способствующей разрастанию дефицита и в конечном счете раскручиванию инфляционной спирали.
Сравнительный анализ экономического эффекта от досрочного погашения долга и инвестирования части средств Стабфонда в национальную экономику показывает, что:
1. Инвестирование средств Стабфонда в необходимые экономике проекты и на погашение госдолга даст преимущественно долгосрочный эффект, который станет ощутимым примерно к 2011-2015 гг.
2. Для того чтобы эффект от инвестирования средств Стабфонда превысил экономическую выгоду от погашения долга (связанную с уменьшением сумм, затрачиваемых на его обслуживание), необходимо выполнение следующих условий:
- данные инвестиционные проекты должны быть крупными – порядка 5-10 млрд долл.;
- рентабельность проектов должна составлять не менее 25%;
- инвестиционные проекты должны производить мощный мультипликативный эффект в экономике.
Инвестирование средств Стабфонда в интересах национальной экономики (путем создания системы институтов развития – банков и корпораций – и предоставления льготных кредитов предприятиям; 4) позволит замедлить нарастание внешнего долга банков и предприятий, который на конец 2004 г. составлял в сумме 108,4 млрд долл., на конец 2005 г. – 176,2 млрд долл., а на конец 2006 и 2007 гг. достигнет соответственно 215,4 и 253,8 млрд долл. Таким образом, государство будет направлять средства, изъятые у нефтегазового сектора, на развитие экономики и конкурентных преимуществ России (для сравнения: доходность по долгосрочным обязательствам США составляет 5,5%).

Исходя из приведенного анализа, можно сделать следующие выводы:
1. Необходимо рассмотреть возможность эффективного размещения средств Стабилизационного фонда (теперь уже Резервного фонда и Фонда будущих поколений) в соответствии с опытом Норвежского государственного нефтяного фонда, Фонда будущих поколений Кувейта и других с целью искоренения следующих негативных моментов:
- дисбаланса между условиями размещения средств Стабфонда за рубежом и условиями заимствований российских банков и компаний за рубежом;
- дисбаланса между курсом рубля и условиями размещения средств Стабфонда за рубежом.
2. При использовании средств Стабфонда на инвестиционные цели следует стремиться к тому, чтобы эффект от инвестирования средств Стабфонда превысил экономическую выгоду от погашения внешнего долга (связанную с уменьшением сумм, затрачиваемых на его обслуживание). Данные условия формируют следующие рамки для отбираемых инвестиционных проектов:
- инвестиционные проекты должны быть крупными – порядка 5-10 млрд долл.;
- рентабельность проектов должна составлять не менее 25%;
- инвестиционные проекты должны производить мощный мультипликативный эффект в экономике.
3. Можно рассмотреть целесообразность использования средств Стабфонда на создание системы институтов развития – банков и корпораций – с целью предоставления льготных кредитов предприятиям.
По вопросу о регулировании уровня инфляции можно сделать следующие выводы:
1. Инфляция в России не носит исключительно монетарного характера; она возникает также вследствие повышения цен на энергоносители (инфляция издержек) и структурного дефицита, подкрепленного ростом доходов населения (давлением спроса на товары).
2. Снижение уровня инфляции до 104-105% необходимо с целью выравнивания и снижения процентных ставок в экономике, а также их приведения в соответствие с рентабельностью обрабатывающих производств (7-8%; 5).
3. Борьба с инфляцией при помощи краткосрочных мероприятий будет иметь краткосрочный эффект. К снижению уровня инфляции в обозримой перспективе (3-5 лет) приведут лишь долгосрочные скоординированные усилия различных министерств и ведомств, причем в их основе должна лежать грамотная и хорошо продуманная промышленная политика, направленная на расширение инвестиционного спроса в экономике.
Примечания
1. В статье использованы материалы и расчеты, подготовленные Центром экономической конъюнктуры при Правительстве Российской Федерации.
2. Пайдиев Л. Стабилизационный фонд – копить или тратить? М., 2006.
3. Оценка ЦФБИ.
4. "Экспертное заключение на проект Федерального бюджета на 2007 год и прогноз социально-экономического развития Российской Федерации", Центр финансово-банковских исследований ИЭ РАН, 2006 г., разделы III-V.
5. Значительная часть предприятий имеет более низкую рентабельность, чем в среднем по стране – на уровне 5-8%. Поэтому они фактически лишены доступа на кредитный рынок. Это указывает на необходимость реализации государством комплекса мероприятий в области финансирования ряда обрабатывающих производств.





